Wissenschaft
Menschen Wissenschaft Politik Mystery Kriminalfälle Spiritualität Verschwörungen Technologie Ufologie Natur Umfragen Unterhaltung
weitere Rubriken
PhilosophieTräumeOrteEsoterikLiteraturAstronomieHelpdeskGruppenGamingFilmeMusikClashVerbesserungenAllmysteryEnglish
Diskussions-Übersichten
BesuchtTeilgenommenAlleNeueGeschlossenLesenswertSchlüsselwörter
Schiebe oft benutzte Tabs in die Navigationsleiste (zurücksetzen).

Schwierigkeit der Längenkontraktion

2.164 Beiträge ▪ Schlüsselwörter: Zeit, Physik, Raum ▪ Abonnieren: Feed E-Mail

Schwierigkeit der Längenkontraktion

26.08.2017 um 15:25
@pluss

Der letzte Term unten stimmt nicht.

6389538a15 Fall-Alice F



denn t = t' ⋅ γ = 1,25s ⋅ 1,25 = 1,56s


Damit hast du berechnet:

Fall 1: t' = 0,8s   > t = 1s
Fall 2: t' = 1,25s > t = 1,56s

das heißt dein Statement:
Zitat von plusspluss schrieb:Ich denke hiermit hinreichend Belegt zu haben das meine Ur-Uhr, auch wenn sie bewegt wird, durchaus synchron mit einer ruhenden Uhr laufen kann.
hast du somit selbst widerlegt.

Sind wir uns nun einig, das es keine Uhr gibt die in zwei zueinander bewegten Systemen gleich schnell ticken kann?


1x zitiert1x verlinktmelden
pluss ehemaliges Mitglied

Link kopieren
Lesezeichen setzen

Schwierigkeit der Längenkontraktion

26.08.2017 um 16:34
Zitat von mojorisinmojorisin schrieb:Der letzte Term stimmt nicht.
Zitat von mojorisinmojorisin schrieb:denn t = t' ⋅ γ = 1,25s ⋅ 1,25 = 1,56s
Ich hatte gehofft dass es dir auffällt, schön das dem so ist, den jetzt liegt der Focus da wo er sein sollte. Einem meiner lautesten Kritiker ist es bisher nicht aufgefallen.

Korrekt wäre selbstverständlich so:

Fall Alice-Bob 1

Allerdings wird dabei leicht übersehen wo sich die Kugel denn nach 0,8 Sekunden befindet. Das ist nämlich exakt der Zeitpunkt, wo die Kugel den unteren Spiegel (gelbe Linie) berührt.
Fall-Alice y06
Das bedeutet auf Bobs Ur-Uhr ist 1 Sekunde vergangen. Aus Sicht von Alice auch, denn die Kugel trifft ja den Spiegel/Detektor. Folglich t=t'.
Das Problem liegt in der Formel für u'y, sie enthält bzw. berücksichtigt ja nicht den Spiegelabstand.

Ehrlich gesagt bin ich auch davon ausgegangen, das du diese Formel ebenfalls kritisieren würdest:

Fall Alice-Bob 2

Hältst du sie für korrekt?
Wäre das nicht ein Widerspruch, denn wie kann eine bewegte Uhr schneller gehen als eine ruhende?


1x zitiertmelden

Schwierigkeit der Längenkontraktion

26.08.2017 um 17:02
@pluss
Zitat von plusspluss schrieb:Hältst du sie für korrekt?
Nein siehe wie folgt:

Ich habe auch Zweifel an deiner Berechung der Zeitdauer aus Sicht von Alice:

Zu Fall 1:
28cf293ae4 Fall-Bob F


Ich denke wir sind uns einig das das die Zeitdauer für einer Periode also T bzw T', so berechnet wird das der Ball bei y = y' = 0 Ls startet bei y=y'=0,6 Ls reflektiert wird und dann wieder bei y = y' = 0 ankommt. Die Abstände der SPiegel beträgt LSpiegel = L'Spiegel = 0,6Ls

Dadurch ist die effektive Weglänge 2 ⋅ LSpiegel = 2 ⋅ L'Spiegel  =  2 ⋅ 0,6Ls = 1,2 Ls.

Vergleich der Periodendauern:

Fall 1:

T = (2 ⋅ LSpiegel) / uy         = (2 ⋅ 0,6Ls) / 0,48c  = 2,5s
T' = (2 ⋅ LSpiegel) / uy'        = (2 ⋅ 0,6Ls) / 0,6c   = 2 s

T' = 2 s  < T = 2,5

γ1  = T/T' = 2,5s / 2s = 1,25  --> Korrekt
Fall 2:

T = (2 ⋅ LSpiegel) / uy        = (2 ⋅ 0,6Ls) / 0,6c    = 2s
T' = (2 ⋅ LSpiegel) / uy'      = (2 ⋅ 0,6Ls) / 0,75c   = 1,6 s

T' = 1,6 s  < T = 2 s

γ2  = T/T' = 2s / 1,6s = 1,25 --- Korrekt

Vor allem sind die aus den Periodendauern berechneten Gammas gleich:

γ1 = γ2


Das macht auch Sinn,  denn die Relativgeschwindigkeit ist bei beiden Fällen die gleiche,nämlich v = 0,6c.
Zitat von plusspluss schrieb:Das bedeutet auf Bobs Ur-Uhr ist 1 Sekunde vergangen. Aus Sicht von Alice auch, denn die Kugel trifft ja den Spiegel/Detektor
Wie gesagt aus einem Koordinatensystem aus Sicht von Alice auf Bobs Koordinaten zu schließen führt unweigerlich zu fehlschlüssen, da diese wie gezeigt nicht übereinanderliegen sondern gegeneinander verdreht sind. Außerdem fehlen die Zeitachsen.
Zitat von plusspluss schrieb:Folglich t=t'.
Das Problem liegt in der Formel für u'y, sie enthält bzw. berücksichtigt ja nicht den Spiegelabstand.
Der Spiegelabstand ist weder in uy noch in  uy' enthalten. Das sind Geschwindigkeiten und nichts anderes. Um den Spiegelabstand miteinzubeziehen berechnet man ja gerade die Periodendauern T und T'. Da ist dann anhand doppelter Spiegelabstand durch Geschwindigkeit dann alles enthalten und führ tzu den Ergebnissen oben.

Aber woher du jetzt ernsthaft das t = t' herleitest bleibt mit schleierhaft. Ich würde zur Vorsicht raten, um nicht zu sehr den Wunsch Vater des Gedanken werden zu lassen ;-)


4x zitiert1x verlinktmelden
pluss ehemaliges Mitglied

Link kopieren
Lesezeichen setzen

Schwierigkeit der Längenkontraktion

26.08.2017 um 17:48
Zitat von mojorisinmojorisin schrieb:@pluss

Ich habe auch Zweifel an deiner Berechung der Zeitdauer aus Sicht von Alice
Ok, zweifel allein beunruhigen mich aber noch nicht. Könntest du deine zweifel bitte näher erläutern?

Es würde ja letztendlich darauf hinauslaufen das entweder die angewendeten Formeln falsch sind, oder mir ein Rechenfehler unterlaufen ist. Ich möchte es nicht ausschließen, habe aber vorm posten mehrfach alle Berechnungen überprüft. Mir ist kein Fehler aufgefallen.

Hier nochmals die Quelle der angewendeten Formeln: Wikipedia: Velocity-addition formula#Standard configuration

Ich hoffe du kommst dieser kleinen Bitte nach, nachdem ich mir die Mühe gemacht habe deine nachvollziehbare Bitte zu erfüllen. Ansonsten wäre meine Mühe ja für die Katz gewesen :(


1x zitiertmelden

Schwierigkeit der Längenkontraktion

26.08.2017 um 17:53
@pluss
Zitat von plusspluss schrieb:Ok, zweifel allein beunruhigen mich aber noch nicht. Könntest du deine zweifel bitte näher erläutern?
Sieh doch meinen Beitrag oben: Die Periodendauern T und T' sind immer unterschiedlich lang. D.h. die Uhr tickt für Alice langsamer als für Bob.


melden
pluss ehemaliges Mitglied

Link kopieren
Lesezeichen setzen

Schwierigkeit der Längenkontraktion

26.08.2017 um 18:02
Ich kann dich schon verstehen @mojorisin, aber versuch bitte auch mich zu verstehen. In meinen posting sind keine Berechnungen über Perioden enthalten. Trotzdem müssten sie ja deiner Ansicht nach fehlerbehaftet sein. Soweit ok, ich würde nur einfach gerne wissen wo genau ich dort einen Fehler gemacht habe - bevor meine Synapsen auf der nächsten Hochzeit ins Koma gesoffen werden, wenn du verstehst was ich meine ;)

Es bringt mir ja wenig, ne überhaupt nichts, wenn mir keiner explizit mögliche Fehler aufzeigt. Wie soll ich sie nächstes Mal vermeiden, wenn sie keiner benennt?

P.S.: Das soll jetzt nicht heißen dass ich deinen Part mit der Periodendauer links liegen lasse. Selbstverständlich werde ich mir auch darüber Gedanken machen und sie dir auch mitteilen.


5x zitiertmelden

Schwierigkeit der Längenkontraktion

27.08.2017 um 08:04
Empfehle dringend an dieser Stelle erstmal die elfte Reise des Weltraumfahrers Ijon Tichy zu verinnerlichen.


4x zitiertmelden

Schwierigkeit der Längenkontraktion

27.08.2017 um 14:59
@pluss

Ich habe das Gefühl das es jetzt ein bisschen arg skurril wird. Aber machen wir einfach mal weiter.

Deine Hauptaussage ist ja immer noch:
Zitat von plusspluss schrieb:Ich denke hiermit hinreichend Belegt zu haben das meine Ur-Uhr, auch wenn sie bewegt wird, durchaus synchron mit einer ruhenden Uhr laufen kann.
Das heißt du musst zeigen das eine Uhr aus Sicht vom bewegten Bob und der ruhenden Alice gleich schnell gehen. Etwas präziser würde man sagen das eine Uhr aus zwei unterschiedlichen Inertialsystemen betrachtet synchronisiert geht.

Was macht eine Uhr vergleichbar? Ihre Taktrate. D.h man misst wieviel Zeit vergeht während einer periodischen Bewegung. Bei deiner "Ur-Uhr" wäre eine periodische Bewegung die Zeitdauer die die Kugel vom oberen Spiegel and den unteren und zurück benötigt. Ist diese Zeitdauer berechnet aus beiden Systemen die gleiche wäre dein oberes Statement richtig, ist sie allerding nicht gleich ist dein oberes Statement falsch. Ziemlich straight forward.

Die Zeitdauer berechnet sich ja offensichtlich ziemlich einfach über den Weg den die Kugel zwischen beiden Spiegeln zurücklegen muss geteilt (2 &sdot; LSpiegel; die 2 wegen hin- und zurück) geteilt durch die Geschwindigkeit.

Da sich der Abstand der Spiegel nicht ändert, sehr wohl aber die beobachtete Geschwindigkeit abhängig vom Beobahcter, wie du ja selbst berechnet hast, ändert sich logischerweise auch die Taktrate deiner "Ur-Uhr". Sie scheint langsamer zu gehen aus Sicht des ruhenden Beobachter.
Zitat von plusspluss schrieb: In meinen posting sind keine Berechnungen über Perioden enthalten.
Ja, ich habe das noch für dich erledigt. Wieso man die aber benötigt sollte dir schon klar sein.
Zitat von plusspluss schrieb:Es bringt mir ja wenig, ne überhaupt nichts, wenn mir keiner explizit mögliche Fehler aufzeigt. Wie soll ich sie nächstes Mal vermeiden, wenn sie keiner benennt?
Deiner Rechnung sind ja nicht mehr falsch, nur deine Schlussfolgerungen:

Hier habe ich ja explizit deine berechnete Geschwindigkeitswerte eingesetzt und die beobachteten WErte für die Periodendauer berechnet:
Zitat von mojorisinmojorisin schrieb:Vergleich der Periodendauern:

Fall 1:

T = (2 ⋅ LSpiegel) / uy = (2 ⋅ 0,6Ls) / 0,48c = 2,5s
T' = (2 ⋅ LSpiegel) / uy' = (2 ⋅ 0,6Ls) / 0,6c = 2 s

T' = 2 s < T = 2,5

γ1 = T/T' = 2,5s / 2s = 1,25 --> Korrekt
Fall 2:

T = (2 ⋅ LSpiegel) / uy = (2 ⋅ 0,6Ls) / 0,6c = 2s
T' = (2 ⋅ LSpiegel) / uy' = (2 ⋅ 0,6Ls) / 0,75c = 1,6 s

T' = 1,6 s < T = 2 s

γ2 = T/T' = 2s / 1,6s = 1,25 --- Korrekt
Man sieht doch glasklar das auch deine beobachtete "Ur-Uhr" wie erwartet dilatiert geht, das die Periodendaueren für einen Takt nicht die gleichen sind. D. h. deine Aussage ist damit widerlegt. Um ganz ehrlich zu sein weiß ich an dieser Stelle nicht mehr wo dein Problem liegt.

@GuggstDu
Zitat von GuggstDuGuggstDu schrieb:Empfehle dringend an dieser Stelle erstmal die elfte Reise des Weltraumfahrers Ijon Tichy zu verinnerlichen.


Danke das kannte ich nicht, das ist gut ;-)


3x zitiertmelden

Schwierigkeit der Längenkontraktion

27.08.2017 um 15:12
@pluss
Zitat von plusspluss schrieb:Belege deine Behauptung mit einem Zitat.
Habe ich, nimmst Du nur wieder mal wie üblich nicht wahr. So wie bei @McMurdo - er hatte Dir auch genau zitiert, was Du da geschrieben hast. Und wäre schön, wenn Du das machen würdest, was Du von anderen so "forderst" belege mal bitte die Deine Behauptung hier:
Zitat von plusspluss schrieb:Siehste, da kommt sie wieder durch, die eristische Dialektik.
Wo willst Du da denn nun hier:
Zitat von nocheinPoetnocheinPoet schrieb:Du dann dort auf eine Gesamtgeschwindigkeit des Teilchens von √(0.9² + 0.9²) = 1.277 c kommen, also v > c und soweit ich Dich hier verstehe willst Du ja nicht die SRT für falsch erklären und erkennst an, dass sich für keinen Beobachter ein Objekt mit v > c bewegen kann.
eristische Dialektik genau sehen? Wo? Bin sicher auch da wird wieder nichts mehr von Dir kommen, außer dem üblichen Schweigen.

Wo ich schon dabei bin, was ist hier:
Zitat von plusspluss schrieb:
Zitat von nocheinPoetnocheinPoet schrieb:Und da kommt auch dann nach Deiner Rechnung eben √(0.9² + 0.9²) = 1.277 c raus.
Belege mal wo ich hier behauptet haben soll dass es so berechnet werden muss. Oder meinst du nur weil du deine unverschämte Behauptung etliche Male wiederholt hast, wird sie zur Wahrheit?
nun bitte unverschämt?
Zitat von plusspluss schrieb:Ich bin ein geduldiger Mensch, wenn aber jemand permanent versucht mir Aussagen zu unterstellen die ich nie getroffen haben, gehe ich davon aus das sein Ziel einzig darin besteht zu versuchen meine Person zu diffamieren. Ich habe keinen Bock der Verwaltung auf den Sack zu gehen, also Belege deine Behauptung.
Unfug, Geduld manifestiert sich anders, Du zeigst Dich hier rechthaberisch, arrogant und zornig, und nebenbei lügst Du, denn ich habe Dir nicht permanent versucht Aussagen zu unterstellen, die nie ein Mensch zuvor hier gesehen hat, Du lügst Dir das zurecht um dann den Gegenüber, hier aktuell eben mich, anzugreifen, auf der persönlichen Ebene.

Also belege Du doch nun selber mal, wo ich Dir "permanent" was unterstellt habe?

Und ganz deutlich, natürlich geht eben genau diese Rechnung hier:

v = √(0.9² + 0.9²) = 1.277 c

für die Gesamtgeschwindigkeit des Teilchens in der Ur-Uhr im zur Ur-Uhr bewegten System aus Deinen Aussagen hervor.

Ist Dir ja wohl auch klar, sonst hättest Du auf meine Fragen:

1. Angenommen das Teilchen der Ur-Uhr bewegt sich im Ruhesystem der Ur-Uhr mit 0,9 c auf der y-Achse, bewegt es sich dann im zur Uhr bewegten System auch mit dieser Geschwindigkeit, also mit 0,9 c auf der dortigen y-Achse, ja oder nein, und wenn nein, wie schnell dann, langsamer oder schneller, warum und wie rechnest Du es.

Bisher überträgst Du eben genau diese Geschwindigkeit (egal wie große wir die nun ansetzen) 1 zu 1 aus dem Ruhesystem der Uhr in das zur Uhr bewegte System.

2. Wie groß ist die Gesamtgeschwindigkeit des Teilchens im zur Uhr mit 0,9 c bewegten System und wie rechnest Du dieses?

ja antworten können. Oder?

Eben.

Du kopierst die ganze Zeit nämlich die Teilchengeschwindigkeit des "Balls" in der Ur-Uhr auf der y-Achse aus deren Ruhesystem in das zur Ur-Uhr bewegte System ohne jede Änderung 1 zu 1. Bewegt sich das Teilchen in der Ur-Uhr mit 10 m/s für den zur Ur-Uhr ruhenden Beobachter auf der y-Achse, behauptest Du diese Geschwindigkeit würde auch ein zur Ur-Uhr bewegte Beobachter auf seiner y-Achse in seinem Ruhesystem messen und beobachten.

Nebenbei, Du behauptest es auch nur, ...

Konkret, bewegt sich das Teilchen der Ur-Uhr mit 0,9 c im Ruhesystem der Ur-Uhr auf der y-Achse, übernimmst Du diese genau so auch ins zur Ur-Uhr bewegte System. @mojorisin und ich erklären Dir die ganze Zeit, dass dieses so im Rahmen der SRT einfach falsch ist, alle Vorgänge im Ruhesystem der Ur-Uhr werden im zur Ur-Uhr bewegten System dilatiert, also verlangsamt beobachtet.


Lustiger Weise stimmst Du sogar noch genau dieser Aussage von @mojorisin explizit zu:
Zitat von plusspluss schrieb:
Zitat von mojorisinmojorisin schrieb am 23.08.2017:Ausnahmslos alle Vorgänge in Bobs System sind aus Sicht von Alices zeitdilatiert.
Das sehe ich auch so. Hier sind wir uns absolut einig.
Deine Worte oder? Die Bedeutung von "absolut" ist Dir geläufig?


Ich frage ja nur mal so, weil Du dann gleich darauf schreibst:
Zitat von plusspluss schrieb:
Zitat von mojorisinmojorisin schrieb am 23.08.2017:Die Geschwindigkeit uy von Bob mit 10 m/s gemessen, erscheint von ALice langsamer also mit 4,36 m/s
Hier bin ich anderer Ansicht (ausschließlich in Bezug auf die Ur-Uhr).
Du bist also absolut einig, dass ausnahmslos alle Vorgänge zeitdilatiert sind (bedeutet verlangsamt), nur nicht die Geschwindigkeit des Teilchens in der Ur-Uhr? Alter Falter, das ist dann doch eben eine Ausnahme, also bist Du eben nicht mit @mojorisin absolut einig. Genau darauf hat Dich dann ja auch ganz sachlich der gute @McMurdo hingewiesen, denn Du dann genau so wie angegangen bist, wie Du mich angehst, fast die ganze Zeit hier.

So, also ich habe nun noch mal belegt, dass aus Deinen Aussagen hervorgeht, dass sich die Geschwindigkeit des Teilchen in der Ur-Uhr in deren Ruhesystem (wohl das System in dem Bob ruht) nicht für das zu diesem System bewegte System ändert (wäre dann wohl das System von Alice).

Bewegt sich das Teilchen von Bob in dessen System S mit 10 m/s (auf der y-Achse) behauptest Du, es würde sich auch für Alice in deren Ruhesystem mit 10 m/s (auf der y-Achse) bewegen.

Du "transformierst" somit nach Newton mit der GT:

vy' = vy

Kommst Du so weit zumindest noch mit? Denn würdest Du eben genau dieses nicht behaupten, wäre der Drops hier lange schon gelutscht.


So, habe also eben noch mal mit Zitaten belegt, dass Du die Geschwindigkeit des Teilchens einfach so 1 zu 1 aus dem System S von Bob (Ruhesystem der Ur-Uhr) in das System System S' von Alice (Zur Ur-Uhr bewegte System) übernimmst.

Geht hier explizit nur um die Geschwindigkeit auf der y-Achse, und wenn man dann zwei Geschwindigkeitsvektoren in einem System hat, werden die geometrisch addiert.

Stehen die Vektoren in einem Winkel von 90 Grad zueinander, dann gilt eben:

vSumme = √(vx² + vy²)

Also, ich habe Dir hier nun damit belegt, dass ich Dir nicht nur nichts unterstellt habe (das Du nie nicht gesagt hast), schon gar nicht permanent, sondern dass eben genau dieses so aus Deinen Aussagen hervorgeht.

Du hast mich da offenkundig nicht richtig verstanden, oder wolltest mich nicht verstehen, oder hast mich richtig verstanden und es einfach ignoriert. Normal wäre es, wenn Du Dich für Deine falschen und ungerechtfertigten Anschuldigungen gegen meine Person mal anständig entschuldigen würdest, aber ich rechne ganz sicher nicht mit so viel Einsicht und Rückgrad bei Dir.


Aber ernsthaft noch gesagt, was Du hier mir gegenüber so abziehst ist schon wo doch echt unverschämt. Vor allem in Anbetracht solcher Aussagen von Dir:[/color]
Zitat von plusspluss schrieb:Ich gebe dir mal einen freundschaftlichen Rat: Suche die Ursache für gewisse Dinge nicht immer bei anderen. Etwas mehr Selbstreflektion [sic !] könnte nicht schaden. Das ich auf andere User reagiere und deren Forderungen nachkomme, liegt schlicht und ergreifen an deren Diskussionskultur. Deine Kommentare kann ich nur selten als sachlichen Beitrag bewerten, meinem Verständnis nach bestehen sie weit überwiegend aus eristischer Dialektik. Sicher, ist meine subjektive Wahrnehmung, aber könntest ja mal drüber nachdenken.
Zitat von plusspluss schrieb:... meinst du nur weil du deine unverschämte Behauptung etliche Male wiederholt hast, wird sie zur Wahrheit?
Zitat von plusspluss schrieb:Ich bin ein geduldiger Mensch, wenn aber jemand permanent versucht mir Aussagen zu unterstellen die ich nie getroffen haben, gehe ich davon aus das sein Ziel einzig darin besteht zu versuchen meine Person zu diffamieren. Ich habe keinen Bock der Verwaltung auf den Sack zu gehen, also Belege deine Behauptung.



melden

Schwierigkeit der Längenkontraktion

27.08.2017 um 15:26
@mojorisin
Zitat von mojorisinmojorisin schrieb:Ich habe das Gefühl das es jetzt ein bisschen arg skurril wird.
Wie erst jetzt? Finde das hier schon länger arg skurril. Auch weil Dinge einfach nicht aufgegriffen sondern ignoriert werden.


melden

Schwierigkeit der Längenkontraktion

27.08.2017 um 16:43
@pluss | @skagerak | @GuggstDu | @Sonni1967

So, nach den ganzen Formeln und den Grafiken will ich die Zeitdilatation (ZD) noch mal ohne solche Hilfsmittel erklären, ganz einfach, sachlich und logisch nachvollziehbar. Es gibt nur eine einzige "Annahme", welche man als gegebene Tatsache hinnehmen muss:

1. Jeder Beobachter misst die Geschwindigkeit des Lichtes (im Vakuum) in seinem Inertialsystem mit konstant c


Dieses wurde natürlich in unzähligen Experimenten wissenschaftlich bestätigt.


Die Lichtuhr von Bob:

Beginnen wir mal mit dem System S (hier ruht der liebe Bob) und der Lichtuhr darin. Die bestehst aus zwei Spiegeln mit einem Abstand von 0,5 Lichtsekunden. Darin bewegt sich ein Photon auf und ab, es dauert für Bob also genau eine Sekunde, bis das Photon wieder an seinem Startpunkt angekommen ist.


Die Ur-Uhr von Bob:

Bob besitzt nun eine weitere Uhr, die wir hier die ganze Zeit als "Ur-Uhr" bezeichnen, darin bewegt sich ein Teilchen auf und ab, die Dauer einer Periode beträgt für Bob hier auch genau eine Sekunde. Die Geschwindigkeit des Teilchens betrug am Anfang mal 10 m/s, inzwischen wohl 0,6 c und wenn es nach mir geht 0,9 c. Generell ist das nicht entscheidend, je nach Geschwindigkeit des Teilchens ergibt sich der Abstand zwischen den beiden Platten zwischen denen sich das Teilchen hin und her bewegt.

Beide Uhren sind so im System S von Bob ausgerichtet, dass Teilchen und Photon sich auf der dortigen y-Achse bewegen. Wichtig, beide Uhren gehen für Bob synchron, das Photon kommt dann "oben" an, wenn auch das Teilchen oben ankommt.


Hier für mich nun bedingt wichtig, beide Uhren befinden sich auf der z-Achse hintereinander, hat später was mit der RdG zu tun, fällt aber vermutlich nur echten Insidern auf. Will mir da nur nicht später einen Strick drehen lassen.

Betrachten wir nun erstmal nur die Lichtuhr von Bob, die Strecke die das Photon im System vom Bob in einer Periode zurücklegt betragt natürlich genau eine Lichtsekunde. Eben darum braucht das Photon für Bob ja auch genau 1 s.


Bobs Lichtuhr von Alice aus gesehen:

Alices Ruhesystem S' bewegt sich nun mit 0,9 c an dem System S von Bob auf der x-Achse vorbei. Für Alice bewegt sich somit Bobs Lichtuhr mit 0,9 c auf der x-Achse.

Das Photon in Bobs Lichtuhr bewegt sich auch für Alice genau mit c, das war und ist ja die Bedingung, die Annahme der SRT, eben das jeder Beobachter Licht konstant mit c in seinem Inertialsystem misst.

Nun bewegt sich das Photon für Alice aber eben nicht nur auf und ab auf der y-Achse, nein es bewegt sich mit der Uhr auch seitlich auf der x-Achse. Somit ist die Strecke die das Photon im Ruhesystem von Alice für eine Periode zurücklegt eben nicht mehr genau 1 Lichtsekunde lang, sondern länger.

Da sich dieses Photon nun aber auch für Alice nur mit genau c bewegen kann, kann es für diese längere Strecke nicht auch nur eine Sekunde an Zeit brauchen, denn dafür müsste es sich, schon der Logik wegen, schneller bewegen als mit c.

Alice beobachtet somit die Lichtuhr von Bob langsamer laufen, zwangläufig, ohne wenn und aber.


Wir wissen nun aber, beide Uhren von Bob laufen synchron, kommt das Photon der Lichtuhr wieder oben an, kommt auch das Teilchen der Ur-Uhr oben an.

Und so sieht es natürlich auch Alice, kommt das Photon wieder oben an, kommt auch das Teilchen wieder oben an.

Somit ist zweifelsfrei belegt, auch die Ur-Uhr von Bob geht im System S' von Alice zwingend langsamer. Die "Annahme" von @pluss ist damit eindeutige widerlegt, und das ohne jede Formel und ohne jede Rechnung, ohne Grafik und ohne über Impulse debattieren zu müssen.


Aus der Strecke die das Photon nun im System von Alice zurücklegt, also die längere Strecke, lässt sich die Dauer errechnen, welche Alice für eine Periode von Bobs Lichtuhr beobachtet. Daraus lässt sich dann die LT ableiten und ebenso auch der Gamma-Faktor.

Zeige ich vermutlich in einem späteren Beitrag noch mal auf.


1x zitiertmelden

Schwierigkeit der Längenkontraktion

27.08.2017 um 19:58
@nocheinPoet
Sehr schön das du das Beispiel nochmal anschaulich gemacht hast. Die ganze Mathematik dahinter kann man so erstmal etwas zur Seite schieben, ist sie ja hier im Laufe der Diskussion ja eher zum verwirren eingesetzt worde. Wobei ich anmerken möchte, das wir auch an diesem Punkt mit dem anschaulichen Beispiel und der längeren Strecke des Photons ja schon mal waren. :-)


melden

Schwierigkeit der Längenkontraktion

27.08.2017 um 21:45
@nocheinPoet
Danke dafür :-)

Im Groben hab ich schon die ganze Zeit das Prinzip verstanden, habe nur nicht verstanden was es mit der Ur-Uhr auf sich hatte, wusste also nicht was an dieser Uhr nun anders sein sollte.
Schlussfolgernd heißt es doch halt, dass c immer c ist, egal von wo gesehen, oder nicht? Nur dass die Zeit eben delatiert (oder wie auch immer das heißt) und das Objekt kontraktiert aus Sicht des Beobachters?


melden

Schwierigkeit der Längenkontraktion

28.08.2017 um 00:04
@skagerak

So, schreibe das erste mal vom Smartphone, darum nur kurz. Also c ist natürlich immer gleich c. ;)

Es zeigt, dass eben nicht nur die Lichtuhr  für Alice dilatiert, also langsamer geht, sondern auch die Ur-Uhr von @pluss und jede andere Uhr.

Alles geht langsamer, auch ein Plattenspieler dreht entsprechend langsamer.

Überlege den letzten Beitrag in einen neuen Thread zu übernehmen und dort fortzuführen. Da erkläre ich dann auch noch wie man nun so zum Lorentzfaktor kommt. Und wie und warum es zur Lorentzkontraktion kommt. Selbstverständlich geht es dann auch noch um die Relativität der Gleichzeitigkeit.

Was hälst Du davon?


melden

Schwierigkeit der Längenkontraktion

28.08.2017 um 01:03
@nocheinPoet
Naja, nicht so schnell, musst Dir meinetwegen keine Umstände machen.
Wenn ich's prinzipiell und grob richtig verstanden habe, reicht mir das schon um es hier weiterzuverfolgen ;-)

Ich weiß ja noch nicht mal was der Lorenzfaktor ist, geschweige denn dass es dann zu einer Lorenzkontraktion kommt, dachte lediglich Kontraktion ist halt Kontraktion...also im Sinne des Themas hier.

Aber etwas dagegen hätte ich auch nicht. Kommt halt drauf an inwieweit ich da mitkomme ;-)


1x zitiertmelden

Schwierigkeit der Längenkontraktion

28.08.2017 um 08:39
@skagerak
Zitat von skagerakskagerak schrieb:... nicht so schnell, musst Dir meinetwegen keine Umstände machen. Wenn ich's prinzipiell und grob richtig verstanden habe, reicht mir das schon um es hier weiterzuverfolgen ;-) Ich weiß ja noch nicht mal was der Lorenzfaktor ist, geschweige denn dass es dann zu einer Lorenzkontraktion kommt, dachte lediglich Kontraktion ist halt Kontraktion...also im Sinne des Themas hier. Aber etwas dagegen hätte ich auch nicht. Kommt halt drauf an inwieweit ich da mitkomme ;-)
Also mal vorab, der gute Mann hieß Lorentz. Ich mache eben noch mal hier kurz weiter, werde es aber dann in einen neuen Thread ziehen, hier geht es einfach unter, wäre verbrannte Zeit.

Gibt im Netz einige Ableitungen des Lorentzfaktor, vermute mal, die versteht nur wer mit etwas mehr Grundlagenwissen. Darum werde ich hier einen etwas anderen und wohl unortodoxen Weg beschreiten, halte den aber für wirklich einfach und gut verständlich. Wir werden sehen, ob Du damit was anfangen kannst.

Als erstes müssen wir dafür die Lichtuhr etwas umbauen, wir vergrößern den Abstand zwischen den beiden Spiegel auf eine Lichtsekunde. Somit dauert die Periode dann für Bob genau 2 Sekunden, das Photon braucht nun genau 1 Sekunde um von einem Spiegel zum anderen Spiegel zu kommen.

Nun startet das Photon unten und Alice fliegt von rechts nach links an der Uhr vorbei.

Also Alice beobachtet nun wie sich das Photon von unten links vom einen Spiegel nach recht oben zum anderen Spiegel bewegt. Gibt eine nette schräge Linie, soll Menschen geben die nennen so etwas auch einen Vektor.

Alice kennt die Geschwindigkeit dieses Vektors, auch die Länge, die ist aber nicht so wichtig, die Geschwindigkeit ist natürlich c. Weil wie wir wissen, Licht bewegt sich für jeden Beobachter immer ganz freundlich mit c. Damit es einfach bleibt messen wir die Geschwindigkeit auch in der Einheit c, also haben wir:

v = c = 1

Oder so.

Nun kennt Alice auch die Geschwindigkeit gegenüber der Lichtuhr, die hatten wir ja mit 0,9 c vorgegeben.

Alice weiß also, das Photon bewegt sich mit der Gesamtgeschwindigkeit c diagonal und mit der Teilgeschwindigkeit 0,9 c auf der x-Achse von links nach recht.

Noch mal ganz deutlich, für Alice bewegt sich das Photon einmal von unten nach oben und dabei aber auch noch von links nach rechts.

Von unten nach oben ist auf der y-Achse. Und von links nach rechts ist auf der x-Achse.

Alice kennt die Gesamtgeschwindigkeit des Photons, eben c und auch die Teilgeschwindigkeit von links nach recht auf der x-Achse, die beträgt ja eben genau 0,9 c.

Nun fragt sich Alice, mit welcher Geschwindigkeit sich das Photon nun für sie von unten nach oben bewegt.

Konkret haben wir hier einfach ein Dreieck, die Diagonale (Hypotenuse) ist c, also 1 und die untere Seite (Kathete x-Achse) hat die Länge 0,9. Damit kann man die Länge der Kathete auf er y-Achse berechnen, der gute Pythagoras fand dafür mal eine Formel:

c² = a² + b²

Wir kennen c und b und suchen a. Darum stellen wir die Gleichung eben um:

c² = a² + b² | - b²

c² - b² = a²

a² = c² - b²

Wir wollen a wissen, also noch die Wurzel ziehen, so bekommen wir dann:

a = √ (c² - b²)

Nun setzen wir c und b ein:

a = √ (1² - 0.9 ²)
a = √ (1 - 0.81)
a = √ (0.19)
a = 0,436

Also, das Photon bewegt sich für Alice in Summe diagonal mit c = 1 und mit 0,9 c von links nach recht (auf der x-Achse) und mit 0,436 c von unten nach oben (auf der y-Achse).

1 = 0,9² + 0,436²

So, Alice weiß, wenn das Photon sich von unten nach oben bewegt hat, dann ist für Bob genau 1 Sekunde vergangen. Denn für Bob bewegt sich das Photon ja nur von unten nach oben in seinem System und dort mit c.

Für Alice bewegt sich das Photon nun aber nur mit 0,436 c von unten nach oben. Alice beobachtet das Photon sich also langsamer auf der y-Achse bewegen, als Bob.

Nun teilt Alice einfach die Geschwindigkeit von Bob durch die Geschwindigkeit die sie beobachtet um herauszubekommen, um wie viel langsamer sich das Photon für sie bewegt.

1 / 0,436 = 2,2942

Und das ist dann oh Wunder, der Lorentzfaktor nennt man auch Gamma.

Die Uhr (alle Uhren von Bob) gehen also um den Faktor 2,2942 für Alice langsamer.

Noch mal zum Überlegen, für Bob dauert es genau 1 Sekunde bis sich das Photon von unten nach oben bewegt hat. Alice beobachtet nun genau diese Bewegung des Photons von unten nach oben aber langsamer, da sich dieses ja nicht mehr mit c von unten nach oben bewegt, sondern nur noch mit 0,436 c. Alice sieht also richtig, wie die Uhr von Bob langsamer läuft.

Und wo ich schon mal dabei bin, schauen wir uns noch mal die 0,436 an, zuerst war ja die Geschwindigkeit des Teilchens der Ur-Uhr 10 m/s und @mojorisin und ich haben mehrfach berechnet, dass sich dieses Teilchen für Alice nur noch mit 4,36 m/s auf der y-Achse bewegt.

10 m/s mal 0,436 = 4,36 m/s

...

So, werde den Beitrag wohl noch mal optimieren müssen, ist so einfach beim ersten Kaffee mal schnell einfach runter geschrieben, wollte es aber schon mal los geworden sein.

Wer Fragen hat, immer zu ...


1x verlinktmelden
pluss ehemaliges Mitglied

Link kopieren
Lesezeichen setzen

Schwierigkeit der Längenkontraktion

28.08.2017 um 08:43
Zitat von mojorisinmojorisin schrieb:@pluss

Ich habe das Gefühl das es jetzt ein bisschen arg skurril wird. Aber machen wir einfach mal weiter.
Ja, das Gefühl beschleicht mich schon länger. Aber egal, wir befinden uns hier in der Rubrik Wissenschaft und da sollten man bemüht sein Widersprüche aufzulösen.
Zitat von nocheinPoetnocheinPoet schrieb:Da sich dieses Photon nun aber auch für Alice nur mit genau c bewegen kann, kann es für diese längere Strecke nicht auch nur eine Sekunde an Zeit brauchen, denn dafür müsste es sich, schon der Logik wegen, schneller bewegen als mit c.

Alice beobachtet somit die Lichtuhr von Bob langsamer laufen, zwangläufig, ohne wenn und aber.
Was für eine Längere Strecke. Hättest du den ersten Absatz so formuliert "Da sich das Photon auch für Bob nur mit c bewegen kann, muss es für die Strecke in Alice System mehr Zeit benötigen, denn andernfalls müsste sich das Photon mit >c bewegen." hätte ich dir recht gegeben.
So ist nur der Letzte Satz korrekt.
Zitat von nocheinPoetnocheinPoet schrieb:Aus der Strecke die das Photon nun im System von Alice zurücklegt, also die längere Strecke, lässt sich die Dauer errechnen, welche Alice für eine Periode von Bobs Lichtuhr beobachtet.
Hier offenbarst du deinen Denkfehler. Was für eine längere Strecke?
Die in dt zurückgelegte Strecke des Photons hat in allen Inertialsystemen immer die gleiche Länge. Was du machen kannst ist die Strecke gedanklich verlängern, um so ablesen zu können bei welchem Wert auf der x-Achse das Photon theoretisch den Spiegel treffen würde und diesen dann mit dem Beobachteten Wert der x-Achse dividieren. Das Ergebnis ist dann der Kehrwert von Gamma, multipliziert mit t ergibt dann t'. Aber Vorsicht, das hat nur Gültigkeit wenn das Teilchen den Spiegel noch nicht erreicht hat, was bei einem Photon in einem Bewegten System bei dt natürlich nie der Fall sein wird. Aber alles, dessen Geschwindigkeit (Bezogen auf dein Beispiel) auf der y-Achse <c ist, kann den Siegel in Abhängigkeit der Geschwindigkeitskomponente der x-Achse durchaus schon erreicht haben.

Da dein Textverständnis, wenn er aus meiner Hand stammt, zu wünschen übrig lässt, befindet sich im Spoiler eine grafische Darstellung der Sachverhalte.
Spoiler
NEP-G1
Wie zu sehen, erreicht die gedanklich verlängerte Strecke (gestrichelte rote Linie) des Photons den Spiegel/Detektor (gelbe Linie) bei einem Wert von ≈0,75 auf der x-Achse, während der Beobachtete Wert (blaue Linie) auf der x-Achse 0,6 beträgt.
NEP-GF01
Ein auf der Grafik abgelesener oder gemessener Wert ist natürlich ungenau, er lässt sich aber auch mathematisch bestimmen:
NEP-GF02
Beträgt der Beobachtete Wert auf der x-Achse 0,8 (0,9), trifft die gedanklich verlängerte Strecke des Photons den Spiegel bei einem Wert von ≈1,3 (≈2) auf der x-Achse.
NEP-GF03
Zitat von nocheinPoetnocheinPoet schrieb:Somit ist zweifelsfrei belegt, auch die Ur-Uhr von Bob geht im System S' von Alice zwingend langsamer. Die "Annahme" von @pluss ist damit eindeutige widerlegt, und das ohne jede Formel und ohne jede Rechnung, ohne Grafik und ohne über Impulse debattieren zu müssen.
So so, du meinst also man kann allein durch Behauptungen in Naturwissenschaften etwas belegen. Ne du, das geht nicht. Mathematik ist da zwingend. Grafiken können die zwingend erforderliche Mathematik zwar nicht ersetzen, aber führen näherungsweise zu korrekten Ergebnissen. Das ist dann zwar immer noch kein gültiger Beleg, aber immerhin ein starkes Indiz dafür, dass die aufgestellte These wahr sein könnte. Da du deine Behauptung weder mathematisch noch hilfsweise grafisch darstellst, kannst du dir denken was ich davon halte. Aber gut, könnte ja sein das dir die Fähigkeiten dazu fehlen.

Im Übrigen, dein letzter Halbsatz "ohne über Impuls debattieren zu müssen" ist eine der Ursachen für deine Denkfehler. Mit rudimentären Physikkenntnissen wirst du die SRT nie richtig verstehen, geschweige denn anwenden können. Aber ich helfe dir da gerne weiter. Fangen wir mal damit an warum der Impuls wichtig ist. Es macht einen entscheidenden Unterschied, in Bezug auf die Geschwindigkeiten der x und y-Achse, ob ein Impuls erst auf der x-Achse und dann auf der y-Achse erfolgt. Es ist wichtig zu wissen das sich die Geschwindigkeitskomponente der Achse, auf der der erste Impuls erfolgte, nicht mehr ändert.

Um dir diesen entscheidenden Sachverhalt verständlich zu machen, folgendes Beispiel:

Eine Kugel mit der Ruhemasse m0=1kg erhält einen Impuls (p1=270.000.000kgm/s) auf der y-Achse, welche Geschwindigkeit (v) hat die Kugel dann auf der y-Achse uy?
Nun erfährt die Kugel einen zweiten (p2) gleichgroßen Impuls wie zuvor, jedoch auf der x-Achse. Welche Geschwindigkeit hat die Kugel dann auf der x-Achse (ux) und welche Geschwindigkeit (w) resultiert aus den Geschwindigkeitskomponenten ux und uy?
NEP-GF04
NEP-G2
Da es aus meiner Sicht naheliegend ist das du obiges Beispiel nicht auf meine Ur-Uhr übertragen kannst, rechne ich dir auch das mal vor:
Die Kugel meiner Ur-Uhr mit einer Ruhemasse (m0) von 1kg erhält ihren ersten Impuls (p1) auf der y-Achse, welcher zu einer Geschwindigkeit u'y von 0,6c führt. Dann soll sie einen zweiten Impuls (p2) erhalten, der so groß ist das die Kugel auf der x-Achse ebenfalls eine Geschwindigkeit u'x von 0,6 erhält. Auch wollen wir wissen welche Geschwindigkeit (w') aus den Geschwindigkeitskomponenten resultiert:
NEP-GF05
NEP-G3
Zur Erinnerung, wenn der rote Pfeil den Kreuzungspunkt der blauen und gelben Linie erreicht, bedeutet das die Uhr 1s und Alice Uhr ebenfalls 1s anzeigt. Bedeutet die Uhren laufen synchron.

Weil ich bezweifle das du jetzt nachvollziehen kannst was das für meine Ur-Uhr bedeutet, werde ich dir es anhand des obigen Beispiels darstellen. Einziger unterschied, diesmal findet der erste Impuls auf der x-Achse statt und der zweite gleichgroße Impuls auf der y-Achse. Dann seht ihr was ihr die ganze Zeit berechnet hab. Vielleicht fällt ja dann der Groschen bei dir.
NEP-GF06
NEP-G4

So, und nun schau mal was für ein Ergebnis man mit der gedanklich verlängerten Strecke der Kugel erhält:
NEP-GF07
Fällt dir etwas auf? Wenn nicht schau dir nochmals die erste Grafik dieses postings an. Also das mit der Lichtuhr.

Wenn ihr jetzt immer noch nicht begreift das ihr nicht meine Ur-Uhr, sondern ständig die Zeit einer bewegten Lichtuhr berechnet habt, statt die Zeit auf der bewegten Ur-Uhr zu berechnen, dann weiß ich auch nicht mehr wie ich euch helfen kann.


3x zitiert2x verlinktmelden

Schwierigkeit der Längenkontraktion

28.08.2017 um 10:09
@pluss
Zitat von plusspluss schrieb:Was für eine Längere Strecke. Hättest du den ersten Absatz so formuliert "Da sich das Photon auch für Bob nur mit c bewegen kann, muss es für die Strecke in Alice System mehr Zeit benötigen, denn andernfalls müsste sich das Photon mit >c bewegen." hätte ich dir recht gegeben. So ist nur der Letzte Satz korrekt.

...

Hier offenbarst du deinen Denkfehler. Was für eine längere Strecke? Die in dt zurückgelegte Strecke des Photons hat in allen Inertialsystemen immer die gleiche Länge.
Nein, der Denkfehler liegt bei Dir, natürlich ist die Strecke die das Photon zwischen beiden Spiegeln zurücklegen muss im System von Alice länger. Denn dort bewegt sich das Photon ja eben nicht nur auf der y-Achse sondern auch auf der x-Achse.

Du bist es, der hier ganz einfache Dinge noch immer nicht begreifen kann, im System von Bob bewegt sich das Photon nur auf der y-Achse über eine Strecke von 0,5 Lichtsekunden.

Im System vom Alice hingegen bewegt sich das Photon diagonal, es bewegt sich auf der y-Achse auch über eine Strecke von 0,5 Lichtsekunden, aber es bewegt sich zusätzlich auch auf der x-Achse über eine Strecke von 0,45 Lichtsekunden.

Die Strecke beträgt also = √ (0,5² + 0,45²) = 0,673 Lichtsekunden. Für einen Weg zwischen den Spiegeln. Wenn ich mich auf die Schnelle nun nicht verrechnet habe. So oder so, ohne wenn und aber, natürlich ist die Strecke, die das Photon zwischen beiden Spiegeln im System von Alice zurücklegen muss länger als im System von Bob.

Eventuell lässt Du Dir das mal von @mojorisin erklären, mir traust Du ja offenbar nicht. Zum Rest, nein man braucht keinen Impuls, und Du rechnest Dir da unnötig einen Wolf. Und Du musst uns nicht helfen, Du bist es ja, der noch immer nicht begreifen und verstehen kann, warum eben auch Dein Ur-Uhr genauso langsamer geht, wie die Lichtuhr.

Solltest in Deinen Beiträgen auch ein wenig Arroganz rausnehmen, wirkt schon lächerlich, wo Du hier so mit dem Verständnis am Kämpfen bist. Eventuell zerlege ich Dir den Rest noch später.


1x zitiertmelden

Schwierigkeit der Längenkontraktion

28.08.2017 um 10:18
@pluss

Noch mal ein Beispiel extra für Dich. Du bewegst in einem fahrenden Zug einen Ball aus einer Höhe von 1 m zum Boden, dauert 1 s. Dann legt der Ball im Ruhesystem des Zuges S genau 1 m zurück, er bewegt sich dort nur auf der y-Achse.

Nun schaust Du Dir den Ball vom Bahnhof aus an, der Zug fährt ganz langsam, auch mit 1 m/s.

Der Ball bewegt sich für den Beobachter am Bahnhof nicht nur auf der y-Achse, sondern eben auch auf der x-Achse, natürlich legt der Ball im Ruhesystem des Bahnhofs eine längere Strecke zurück.

Brauchst Du dafür ein Bildchen? ;)


@mojorisin

Du, ernsthaft, ich glaube wirklich man muss da bei @pluss viel weiter unten beginnen, er versteht ja offenkundig bisher noch nicht mal, dass die Länge die ein Objekt in einem System zurücklegt auch vom System abhängt in dem das Objekt beobachtet wird.


melden
pluss ehemaliges Mitglied

Link kopieren
Lesezeichen setzen

Schwierigkeit der Längenkontraktion

28.08.2017 um 10:24
Zitat von mojorisinmojorisin schrieb:Ich denke wir sind uns einig das das die Zeitdauer für einer Periode also T bzw T', so berechnet wird das der Ball bei y = y' = 0 Ls startet bei y=y'=0,6 Ls reflektiert wird und dann wieder bei y = y' = 0 ankommt. Die Abstände der SPiegel beträgt LSpiegel = L'Spiegel = 0,6Ls

Dadurch ist die effektive Weglänge 2 ⋅ LSpiegel = 2 ⋅ L'Spiegel  =  2 ⋅ 0,6Ls = 1,2 Ls.
Ja, da sind wir uns einig.
Zitat von mojorisinmojorisin schrieb:Vergleich der Periodendauern:

Fall 2:

T = (2 ⋅ LSpiegel) / uy        = (2 ⋅ 0,6Ls) / 0,6c    = 2s
T' = (2 ⋅ LSpiegel) / uy'      = (2 ⋅ 0,6Ls) / 0,75c   = 1,6 s

T' = 1,6 s  < T = 2 s

γ2  = T/T' = 2s / 1,6s = 1,25 --- Korrekt
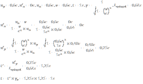
Wieso du allerdings bemängelst das T'=1,6s < T=2s ist, direkt im Anschluss aber mit dem vermeintlich falschen Werten auf " γ2=T/T'=2s/1,6s = 1,25 --- Korrekt " kommst, bleibt mir unverständlich.

Wenn die Uhren synchron gehen, müsste es heißen T=T'. Um das zu erreichen müssen aber zunächst erst mal die Geschwindigkeiten korrekt berechnet werden und vor allem berücksichtigt werden wann die Kugel den Spiegel/Detektor erreicht. Macht man das, siehe hier, dann passt auch alles.

TT-1


6x zitiert3x verlinktmelden