Ich weiß ja echt nicht, bin ich der Einzige, hier noch im Forum, der die SRT so weit verstanden hat und es richtig erklären kann? Ich weiß wir hatten früher User im Forum, die hatten das echt recht gut drauf, so mit Physik.
@mojorisin, wo treibst Du Dich denn herum, magst Du hier nicht mal das Universum mit Wissen unterstützten?
JosephConrad schrieb:
JosephConrad schrieb:Ja. Wenn man von der Erde aus die bewegte Uhr sehen könnte, würde man sagen, die läuft viel langsamer als unsere. Oder wenn die Uhr zurück auf der Erde ist, könnte man sehen, die geht nach, die muss langsamer gelaufen sein.
Also mal die Lichtlaufzeiten außer Acht gelassen stimmt die erste Aussage.
Die Lichtlaufzeiten sollten eh immer "außer Acht" gelassen werden, damit beginnt es. Es geht doch um Physik, es geht um richtige Aussagen, wahre Aussagen. Es geht nicht um eine schöne umgangssprachliche Formulierung. Letztere ist eh oft etwas schwammig und muss "interpretiert" werden. Und hier ist es so, dass die erste Aussage, falsch ist.
Erstmal sollte man das "von der Erde aus sehen" entfernen, viel besser wäre, "aus dem Ruhesystem der Erde beschrieben". Weil man "sieht" da einfach gar nichts. Dann muss man wissen, wie überhaut ein Uhrenvergleich gemacht wird, wie misst man, wie schnell eine Uhr geht? Man muss sie mit anderen Uhren vergleichen und die müssen dafür im eignen System ruhen und natürlich synchron gehen.
Warum schaut Ihr Euch nicht nur mal drei Minuten aus dem Video an?
Das Problem für Euch ist nur die Zeit, nimm Anstelle einer Uhr ein Auto mit Tachometer. Zwei Autos, Du eines und das andere ist zu Dir bewegte. Nun kommt der Knaller, beide Autos bewegen sich immer, und wirklich immer mit 100 km/h. Gaspedal ist festgenagelt, oder was auch immer. Nun startet ihr an einem Ort und schaut aus dem Fenster zum anderen Auto rüber und "seht" (ausnahmsweise für das Beispiel) den anderen Wagen neben Euch und er fällt hinter Euch zurück. Du "siehst" er ist langsamer. Da Du 100 km/h fährt sagst Du nun, der muss ja langsamer fahren.
Und genau so ist nun die Aussage oben, mit, die läuft ja langsamer als unsere und die ist falsch.
Denn der im anderen Wagen schaut nun zu Deinem Auto rüber und sieht, Du fällst hinter ihm zurück, und sagt somit, wenn ich 100 km/h fahre, und der zurückfällt, muss der ja langsamer als ich fahren. Nein tut er nicht, er fährt nur schräge zu Dir, beide Autos fahren in einem Winkel zueinander und nur deswegen "schaut" es so aus, als würde der eine Wagen langsamer als der andere fahren, tut er nicht, beide fahren 100 km/h.
So und ganz genau so ist das mit den beiden zueinander bewegten Uhren,
keine läuft wirklich langsamer.
Deswegen ist präzise Sprache in der Physik sehr wichtig, und man sollte jedes Teil weglassen, dass man nicht braucht, so einen fiktiven Beobachter der auch noch "sieht", es wird immer gemessen und das aus einem System heraus, darin werden die Dinge beschrieben. In einem System gibt es Ereignisse, es ist ein Koordinatensystem mit Koordinatenwerten, ein Ereignis ist ein Punkt in so einem Koordinatensystem.
Koordinatensystem sind definiert, und man kann mehr als eines davon haben, sie können verdreht und auch zueinander bewegt sein. Und nicht alle sind von der Metrik euklidisch. Man kann Koordinatenwerte von einem System S in ein anderes System S' transformieren. Man kann Abstände zwischen Punkten berechnen.
Und ein Zeitpunkt ist eben nur ein Wert in einem Koordinatensystem auf der t-Achse. Das ist die Koordinatenzeit. Peter ist erst bei x = 3 m und t = 3 s und dann bei x = 4 m und t = 4 s. Sind zwei Punkte, Abstand kann man berechnen. Er hat sich in 1 s um 1 m bewegt, gibt eine Geschwindigkeit in S von 1 m/s.
Nun gibt es den Begriff "Eigenzeit", dass ist das was die Uhr von Peter selbst misst, das ist sein Koordinatensystem, sein Ruhesystem in dem er immer ruht, da bleibt er also immer bei x = 0 m. Er hat da eine gerade senkrechte Weltlinie, bei jedem t ist er bei x = 0 m. Was Peter nun vor Ort an seiner Uhr abliest, ist die Eigenzeit, seine eigene Zeit.
Wenn Peter sich nun für Karl bewegt, dann beschreibt Karl eben den Peter zu jedem Zeitpunkt t an einem Ort x im eigenen Ruhesystem von Karl. Nenne wir das mal S und das von Peter S'. Dann haben Punkte im Ruhesystem von Peter die Koordinaten x', t' und dazu gibt es eine Transformation nach x, t im Ruhesystem S von Karl.
Karl kann also "Punkte" zu bestimmten Zeiten machen, also wo Peter nun ist. Damit ist dann Peter im Ruhesystem von Karl bewegt.
Vor Einstein, bei kleinen Geschwindigkeiten war es nun so, dass der Abstand den Peter in der Zeit misst, auch der war, den Karl selbst auf seiner eigenen Uhr als Eigenzeit misst. Wenn Karl also misst, Peter hat sich 1 s bewegt, dann zeigte auch die Uhr von Peter eine Differenz von 1 s. Das hat sich nun durch Einstein geändert.
Okay, es wird schon wieder zu viel, also noch mal mein Rat, Anfang vom Video anschauen, lernen was ein Koordinatensystem ist, was eine Transformation und bei Newton mit der Galilei-Transformation zwischen zwei Systemen anfangen. Erst wenn das klar ist, wenn das Relativitätsprinzip wirklich verstanden ist, dann mit Einstein weitermachen.
JosephConrad schrieb:Und die Zweite stimmt in der Gesamtbilanz auch, die Uhr hat im Intervall weniger Zeit akkumuliert als die Uhr auf der Erde.
Das ist etwas anderes, sie hat eine kürzere Weltlinie, sie hat weniger Strecke durch die Raumzeit gemacht, die Strecke ist kürzer, darum zeigt sie weniger an, sie ist nicht langsamer über dieselbe Strecke bewegt gewesen. Dass muss man verstanden haben, um den Unterschied der beiden Aussagen überhaupt erkennen zu können.
Ihr geht immer davon aus, die Strecke durch die Raumzeit ist immer gleich, weil Zeit wo dann in der Vorstellung doch absolut ist, wenn eine Uhr weniger als eine andere anzeigt, kann sie also ja nur langsamer gelaufen sein. Nein, sie hat einfach eine kürzere Strecke durch die Zeit genommen, oder zurückgelegt. Ist nicht ganz einfach zu verstehen, aber auch nicht ganz dolle schwer.
Lupo54 schrieb:
nocheinPoet schrieb:Nein, im Ruhesystem der Erde bewegt sich das 4 Lj weit. Im Ruhesystem des Raumschiffes ruht es, so wie die Erde im Ruhesystem der Erde ruht. Und im Ruhesystem des Raumschiffes fliegt die Erde weg, und der Planet kommt angeflogen.
Aber nur das Raumschiff hat beschleunigt. Was dort auch zu beobachten ist. Und die Erde nicht. Was dort auch zu beobachten ist.
Ja, soweit passt das.
Lupo54 schrieb:Daraus lässt sich schließen dass sich das Raumschiff bewegt hat und angeflogen/weggeflogen kommt. Und nicht die Erde. Auch wenn das in einer Phase in der keine Beschleunigung mehr stattfindet nicht mehr nachzuweisen ist.
Nein, auch wenn Beschleunigung absolut ist, also Bezugsystem unabhängig, er gibt sich daraus keine absolute Geschwindigkeit, die bleibt weiter relativ und Bezugsystem abhängig, es gilt weiter das Relativitätsprinzip.
Und das hat nichts mit Einstein und der SRT zu tun.
Ich erkläre auch das noch einmal, Peter und Karl fliegen mit ihren großen Raumschiffen durchs All, noch mal ganz langsam zueinander mit nur v = 2 m/s.
Nun sagt Peter, der Karl ist bewegt, ich ruhe und Karl sagt, er ruht und Peter ist bewegt und beide haben recht, das ist physikalisch richtig, man kann das nicht unterscheiden. Es gibt keinen, der wirklich der wahre bewegte ist und einen, der wirklich der ist der ruht.
Jetzt schickt Peter eine Sonde zu Karl, die beschleunigt nun mit 1 m/s² und hat sich somit nach 1 s genau 1 m von Peter entfernt und für Peter die Geschwindigkeit v = 1 m/s. Peter sagt, die ist schneller geworden, eben ruhte sie ja noch zu mir.
Karl sieht es anders, der sagt, Peter und die Sonde entfernen sich ja mit v = 2 m/s von mir. Nun wirft Peter die Sonde raus und die wird langsamer!
Nach einer Sekunde entfernt die sich nur noch mit v = 1 m/s von mir.
Und nachdem die Sonde nun eine weiter Sekunde beschleunigt hat, hat sie für Peter die Geschwindigkeit v = 2 m/s und ist genauso schnell wie Karl. Karl sagt aber, nun bewegt sich die Sonde gar nicht mehr, sie ruht, ihre Geschwindigkeit ist v = 0 m/s.
Trotz Beschleunigung beleibt Geschwindigkeit relativ!
Stelle Dir vor, es gibt ganz viele Sonden, die bewegen sich durchs All, jede ist immer etwas schneller, also 1 m/s, 2 m/s, 3 m/s, 4 m/s ... und ein Raumschiff beschleunigt eben mit 1 m/s² und kommt nun an diesen Sonden lang. Dann ruht es immer zu einer dieser Sonden, die Geschwindigkeit ist da dann immer v = 0 m/s.
Und noch mal, dass sind Grundlagen, das ist nur Newton, das ist das Relativitätsprinzip, das hat nichts mit Einstein zu tun.
Auch in einem beschleunigten Bezugssystem, kann der darin weiter ruhen. Auch wenn Dein Zug beschleunigt, ruhst Du weiter im Zug, Deine Geschwindigkeit bleibt immer v = 0 m/s. Eine Geschwindigkeit hast Du nur in einem anderen System und davon gibt es unendlich viele. Du hast somit jede beliebige Geschwindigkeit in den anderen Systemen. Und egal wie lange Du beschleunigst und in welche Richtung, es gibt immer ein System in dem Du ruhst.
Es gibt keine absolute (lineare) Geschwindigkeit!
JosephConrad schrieb:Beim Zwillingsparadoxon steigt ein Zwilling in ein Raumschiff, startet bei v = 0, beschleunigt auf Reisegeschwindigkeit fliegt eine Weile, verzögert irgendwann und landet mit v = 0 irgendwo auf einem fernen Planeten. Beide haben eine Uhr dabei.
Ja, damit ist die Szenerie soweit unstrittig.
JosephConrad schrieb:Wenn man die Lichtlaufzeiten außer Acht lässt, also nur die relativistischen Aspekte betrachtet und die Uhr auf der Erde mit der Uhr im Raumschiff beim Start synchron waren, dann ...
- ... sieht der Zwilling im Raumschiff die Uhr auf der Erde immer langsamer laufen dann, wenn die Beschleunigung ein Ende hat, konstant langsam und und dann, wenn das Raumschiff wieder verzögert wird, immer schneller. Nach der Landung sieht er dann, dass die Uhrzeit auf der Erde verglichen mit seiner Reise Uhr in der Zukunft liegt.
- ... sieht der Zwilling auf der Erde die Uhr im Raumschiff immer langsamer laufen dann, wenn die Beschleunigung ein Ende hat, konstant langsam und und dann, wenn das Raumschiff wieder verzögert wird wieder schneller, aber immer noch langsamer als seine Uhr. Nach der Landung sieht er dann, dass die Uhrzeit im Raumschiff verglichen mit seiner Erduhr in der Vergangenheit liegt.
Auf der Rückreise passiert im Grunde das gleiche nochmal.
Auch das ist soweit richtig, nur mir gefällt "sehen" nicht. Ich stelle mir da mal "messen" vor und alles ist gut.
JosephConrad schrieb:Das anfangs beide die Uhr des anderen Zwilling langsamer laufen sehen ist kein Widerspruch denn es wird nicht dieselbe Uhrzeit verglichen:
- Erde vergleicht: Jetzt (Erde) ↔ früher (Raumschiff)
- Raumschiff vergleicht: Jetzt (Raumschiff) ↔ früher (Erde)
Darum können beide ehrlich sagen: „Die Uhr des anderen geht langsamer.“
Nein, das ist nun ganz wirr. Die Erde vergleicht, soll wohl heißen, aus dem Ruhesystem der Erde beschrieben, und da nimmt man eben einen beliebigen Zeitpunkt, den man vergleichen will. Man nimmt die Koordinatenwerte x, t für ein Ereignis im Ruhesystem der Erde und transformiert das in das Koordinatensystem des Raumschiffes S' mit x', t'.
Man kann nun einfach so Werte vergleichen, aber es bringt nichts hier t und t' zu vergleichen, man will ja die Abstände wissen, also muss man zwei Punkte in der Raumzeit haben, zwei Ereignisse und dafür die Koordinatenwerte. Daraus kann man einen Abstand in Raum und Zeit berechnen und den dann vergleichen.
Aber Du kannst ja gerne mal mathematisch das hier aufschreiben, was Du da gemeint hast.
Auch hier kann ich nur den Rat geben, sich das Video anzuschauen und sich das mal nur im Raum vorzustellen, und eben nicht in der Zeit.
JosephConrad schrieb:Hier habe ich noch eine, wie ich finde, schöne Beschreibung gefunden die das auch illustriert. Ähnliche Beschreibungen und Bilder wurde hier ja schon gezeigt und verlinkt. ...
Nein, ich habe mir das hier in der Übersetzung durchgelesen, ohne Absätze, es ist grausig. Keine Ahnung, was Du an der Beschreibung "schön" findest. Ich finde auch den originalen Text nicht, sicher das der Link passt?
Und die Grafik selbst, da steht:
- A: Deine Uhr geht im Vergleich zu meiner langsam.
- B: Du vergleichst die aktuelle Anzeige deiner Uhr mit der Anzeige meiner Uhr in der Vergangenheit! Deine Uhr geht langsam.
- A: Nein! Du bist derjenige, der die aktuelle Anzeige deiner Uhr mit der Anzeige meiner Uhr in der Vergangenheit vergleicht.
Ja, kann man so sehen, kann man aber wohl nur verstehen, wenn man schon einiges verstanden hat, eben die Relativität der Gleichzeitigkeit (RdG), ohne dieses Verständnis und Kenntnis der Grundlagen, wird auch diese Grafik nicht helfen. Nun weiß ich aber, wie Du zu der seltsamen Aussage mit den nicht selben Uhrzeiten die vergleichen werden gekommen bist.
Glaube die Grafik richtet sich an Menschen, die eben die RdG verstanden haben und natürlich auch die ganzen Grundlagen kennen. Dann passt das schon recht gut.
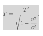
JosephConrad schrieb:Als Folge dieser Uneinigkeit darüber, wann „zur gleichen Zeit“ ist, werden Uhren, die sich relativ zu Ihrem Bezugssystem bewegen, immer als langsamer als Ihre stationäre Uhr wahrgenommen. Wenn die Anzeige der stationären Uhr T ist und die Anzeige der sich bewegenden Uhr „zur gleichen Zeit“ in Ihrem Bezugssystem T' ist, dann stehen T und T' in folgender Beziehung zueinander

wobei v die relative Geschwindigkeit der sich bewegenden Uhr ist. Dieser Effekt ist als Zeitdilatation bekannt.
Ja, wie gesagt, auch hier steckt die RdG drin, ohne dass das verstanden ist, wird der Uhrenvergleich selbst nicht verstanden werden können, dass "zur gleichen Zeit" hängt einfach in der Luft. Da bleibt doch die Frage, wie soll ich meine Uhr denn mit Deiner Uhr in der Vergangenheit vergleichen können?
Und zu der Gleichung, ich würde immer auf c = 1 normieren, dann wird aus dem c² unter dem Bruchstrich eine 1 und damit fällt das raus, dann bleibt nur noch v² über und dass muss dann in der "Einheit" c angegeben werden, also 0,8 c eben. Hier noch den Term v²/c² drin zu behalten ist überflüssig. Man sollte es so einfach wie möglich machen, wenn man dann eine Gleichung zeigt, und das ist ja möglich.