Chemtrails
54.399 Beiträge ▪ Schlüsselwörter:
Himmel, Wolken, Chemtrails ▪ Abonnieren: Feed E-Mail
Seite 2.667 von 2.745vorherige 1 ... 2.5672.6172.6572.6652.6662.6672.6682.6692.6772.717 ... 2.745 nächste
Direkt zur Seite:
Chemtrails
29.06.2017 um 21:16@SergeyFärlich
Stimmt, so ein Streifen kann man ja nicht übersehen, der ist ja dann auch sichtbar da. Und überhaupt Hochnebel wie es manche nennen, die von der NWO bezahlt werden.!!!111!!
Stimmt, so ein Streifen kann man ja nicht übersehen, der ist ja dann auch sichtbar da. Und überhaupt Hochnebel wie es manche nennen, die von der NWO bezahlt werden.!!!111!!
Chemtrails
04.07.2017 um 12:12Also das Thema ist noch lange nicht durch eine schwedische Grünen Politikerin hat offiziell zugeben, das es diese Chemtrails doch gibt und viren und barium aluminium gemische versprühen. Angeblich ja zu unseren wohl wegen dem sogenanntem global warming.
Narrenschiffer
Profil anzeigen
Private Nachricht
Link kopieren
Lesezeichen setzen
dabei seit 2013Unterstützer
Profil anzeigen
Private Nachricht
Link kopieren
Lesezeichen setzen
Chemtrails
04.07.2017 um 12:20Ach ja, Pernilla Hagberg. Sie kandidierte dann doch nicht in ihrem Dorf:Skyze schrieb:eine schwedische Grünen Politikerin hat offiziell zugeben, das es diese Chemtrails doch gibt und viren und barium aluminium gemische versprühen
http://sverigesradio.se/sida/artikel.aspx?artikel=5956071
Wurde auch hier schon diskutiert: Die verrückte Welt der Chemtrailgläubigen von Facebook, YouTube & Co. (Seite 342) (Beitrag von FZG)
Und mehr:
https://www.metabunk.org/swedish-politician-pernilla-hagberg-raises-chemtrail-issue-in-parliament.t791/
Chemtrails
04.07.2017 um 12:26Naja, wer eine durchgeknallte Provinzpolitikerin als ernsthafte Quelle bezeichnet ...
Da sie familiär vorbelastet ist mit Eso-Geschichten, wundert das ja gar nicht ...
Da sie familiär vorbelastet ist mit Eso-Geschichten, wundert das ja gar nicht ...
Chemtrails
04.07.2017 um 12:53@all
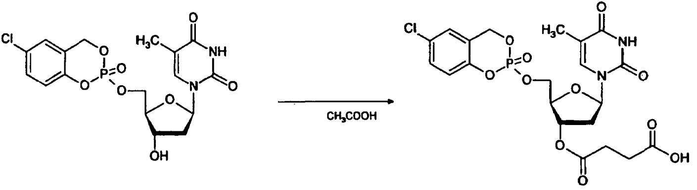
Essig wandelt Chemtrail Chromatrone in ungefährliche Anhydridderivate wie filgt um um:

Dabei genügt gewöhnlicher versprühter Essig mit geringer Essigsäurekonz. um ganze Kubikkilometer Hinmel zu säubern. Mit Erfolg selbst getestet.
Essig wandelt Chemtrail Chromatrone in ungefährliche Anhydridderivate wie filgt um um:

Dabei genügt gewöhnlicher versprühter Essig mit geringer Essigsäurekonz. um ganze Kubikkilometer Hinmel zu säubern. Mit Erfolg selbst getestet.
Chemtrails
04.07.2017 um 13:28Der identische Satz kam von dir schon am 29.06. Und auch da hat man dir die Geschichte entsprechend widerlegt. Entweder hast du das schon wieder vergessen oder hast die Antwort nicht begriffen. Beides halte ich bei Chemmis für nicht ausgeschlossen.Skyze schrieb:Also das Thema ist noch lange nicht durch eine schwedische Grünen Politikerin hat offiziell zugeben, das es diese Chemtrails doch gibt und viren und barium aluminium gemische versprühen. Angeblich ja zu unseren wohl wegen dem sogenanntem global warming.
Aber extra nochmal für dich. Hagberg hat nicht die Existenz von Chemtrails bestätigt, sondern lediglich gesagt, dass sie an deren Existenz glaubt. Sie hätte ebenso gut sagen können, dass sie an die Existenz des Weihnachtsmannes glaubt.
Immer wieder lustig zu sehen, was ihr Chermmis alles als "Beweis" anseht. Echte Beweise hingegen rundheraus ablehnt.
Chemtrails
04.07.2017 um 13:48@Coen Ich bin gerade Irritiert das der da steht, denn ich habe nichts geschrieben Oo
War hier nur kurz gucken
War hier nur kurz gucken
Chemtrails
04.07.2017 um 13:55Übersetzung von skyzisch:Skyze schrieb:War hier nur kurz gucken
"Hallo,
wie ihr alle wißt bin habe ich kein Interesse an der Wahrheit und lese nichts was hier geschrieben wird. Ich werde also alles was letzte Woche geantwortet wurde, und was diese Woche geantwortet wird ignorieren und in Kürze einfach denselben Mist wieder posten"
Chemtrails
04.07.2017 um 14:59Was ist eigentlich der Grund, das die Hüte aus Aluminium sein müssen oder sollten? Gäb es da keine besser geigneten Metalle für?
Kupfer vielleicht?
Kupfer vielleicht?
Chemtrails
04.07.2017 um 15:10Man kann sie leichter herstellen. Eine Rolle Alufolie und Du bist sicher.Katori schrieb:Was ist eigentlich der Grund, das die Hüte aus Aluminium sein müssen oder sollten?
Damals waren die Vermarkter von teurem "Antichemtrailequipment" noch nicht so marktaffin.
Vermutlich kann man inzwischen quantenoptimierte Kupferhüte kaufen. Für 4500 EUR das Stück.
@Celladoor hat gerade den selben Fehler gemacht, indem er normalen Essig anpreist. Wäre er etwas geschäftstüchtiger, würde er den Chemmies verarbeiteten Essig (irgend was mit Quanten wäre super) für 300 EUR die Flasche empfehlen.
Chemtrails
04.07.2017 um 15:30Natürlich klingt Plausible.rambaldi schrieb:Übersetzung von skyzisch:
"Hallo,
wie ihr alle wißt bin habe ich kein Interesse an der Wahrheit und lese nichts was hier geschrieben wird. Ich werde also alles was letzte Woche geantwortet wurde, und was diese Woche geantwortet wird ignorieren und in Kürze einfach denselben Mist wieder posten"
Ich Empfehle dir den Beruf Profiler nie auszuüben.

Chemtrails
04.07.2017 um 15:56@Katori
Mir sind Aluhüte zuerst bei Telepolis begegnet. Damals hatten da manche die Idee, dass DIE sie mit wasweißichfür Strahlen beschießen um sie in den Wahnsinn zu treiben. Und der Aluhut hilft dagegen.
Ein Aluminium-Folienhut, kurz Aluhut, (englisch tinfoil hat) ist eine Kopfbedeckung, die aus einer oder mehreren Lagen Alufolie oder vergleichbarem Material hergestellt ist. Das Konzept wurde zuerst in der 1927 veröffentlichten Science-Fiction-Geschichte The Tissue-Culture King von Julian Huxley erwähnt. Darin entdeckt der Protagonist, dass Kappen aus Metallfolie benutzt werden können, um die Effekte von Telepathie zu blockieren.Quelle: Wikipedia
Mir sind Aluhüte zuerst bei Telepolis begegnet. Damals hatten da manche die Idee, dass DIE sie mit wasweißichfür Strahlen beschießen um sie in den Wahnsinn zu treiben. Und der Aluhut hilft dagegen.
Chemtrails
04.07.2017 um 17:04was wenn DIE auch die alufolienindustrie kontrollieren und gezielt giftstoffe in alufolie verarbeiten um auch die folienträger zu vergiften und in den wahnsinn zu treiben? wurde das schonmal untersucht?
würde so einiges erklären ;)
würde so einiges erklären ;)
Chemtrails
03.08.2017 um 22:57Hi. Ich wollte nur mal auf eine amüsante Sache hinweisen, die hier glaube ich noch nicht erwähnt wurde.
Bei Altona 93 gibt es eine lustige Zaunfahne (eigentlich mehrere lustige, aber ich meine eine bestimmte).
Am letzten Sonntag hing sie wieder an der Gegengeraden. Neben den Zaunfahnen "Hauptsache Bier" und "Kein Fussball den Faschisten" gab es eine Zahnfahne auf der "Ein Herz für Chemtrails" zu lesen steht und auf der außerdem ein Herz mit Flugzeug inkl. Kondensstreifen zu sehen ist.
Hier bei Minute 0:23 zu sehen:

Ich finds witzig! :D
Bei Altona 93 gibt es eine lustige Zaunfahne (eigentlich mehrere lustige, aber ich meine eine bestimmte).
Am letzten Sonntag hing sie wieder an der Gegengeraden. Neben den Zaunfahnen "Hauptsache Bier" und "Kein Fussball den Faschisten" gab es eine Zahnfahne auf der "Ein Herz für Chemtrails" zu lesen steht und auf der außerdem ein Herz mit Flugzeug inkl. Kondensstreifen zu sehen ist.
Hier bei Minute 0:23 zu sehen:

Altona 93 - TSV Havelse (1. Spieltag, Regionalliga Nord)
Externer Inhalt
Durch das Abspielen werden Daten an Youtube übermittelt und ggf. Cookies gesetzt.
Durch das Abspielen werden Daten an Youtube übermittelt und ggf. Cookies gesetzt.
Ich finds witzig! :D
Chemtrails
07.08.2017 um 08:09Wird toll, heute auf PULS 4 um 22:35
Pro und Contra - Der PULS 4 News-Talk
Gibt es "Chemtrails" - künstlich erzeugte Wolken aus Chemikalien, die angeblich bewusst in die Atmosphäre gesetzt werden, um Menschen und Umwelt zu beeinflussen - tatsächlich? Physiker Werner Gruber diskutiert mit dem Luft- und Raumfahrttechniker Franz Miller, der behauptet, dass Chemtrails existieren, um die "Herrschaft über das Wetter, die Gesundheit und das menschliche Bewusstsein zu erlangen". Alzheimer, Demenz, Autismus etc. seien auf die chemischen Wolken zurückzuführen.
Chemtrails
07.08.2017 um 10:34Der tolle "Luft- und Raumfahrtechniker" hat ein Jahr in dem entsprechenden Beruf gearbeitet, vorher war er Zweirad- und KfZ-Ingenieur .
Narrenschiffer
Profil anzeigen
Private Nachricht
Link kopieren
Lesezeichen setzen
dabei seit 2013Unterstützer
Profil anzeigen
Private Nachricht
Link kopieren
Lesezeichen setzen
Chemtrails
07.08.2017 um 11:17:ask:hugosa schrieb:Luft- und Raumfahrttechniker Franz Miller
Naja, Luft- und Raumfahrttechniker in Coburg (ein Jahr)?. Da er Maschinenbauingenieur ist, tippe ich bei Standort Coburg auf Kapp:
KAPP NILES ist Technologiepartner für Unternehmen der Fahrzeug-, Luftfahrt- und Kompressorindustrie, Antriebstechnik, Energie und Windkraft, Bahntechnik, Rohstoffgewinnung und des Schiffsbaus. Maschinen, Werkzeuge und Technologielösungen von KAPP NILES bearbeiten Zahnräder und Profile auf tausendstel Millimeter genau und bis zu einem Durchmesser von acht Metern.Wikipedia: Kapp Werkzeugmaschinen
http://www.kapp-niles.com/de/kapp-niles/ (Archiv-Version vom 01.06.2017)
Wenn dem so ist, wäre er in der Zahnradproduktion tätig gewesen, was ja seinem Ausbildungsprofil entspräche.
Eine andere Alternative finde ich in Coburg nicht ;)
Chemtrails
07.08.2017 um 12:44Wird ja immer noch besser, diese Sendung gabs nämlich schon in der Konstellation vor einem Jahr, und diese 48 seitige Zusammenfassung von Herrn Miller müsst ihr euch UNBEDINGT geben XD XD Selten sowas Paranoides gelesen
http://www.franzmiller.at/vortrag/ce/ce_tv/2016-08-01_Puls4_Pro-und-Contra_Chemiewolken-vergiften-uns_Franz-Miller.pdf (Archiv-Version vom 04.07.2017)
Stellt sich die Frage, warum er und der Sender jetzt ein Jahr später dasselbe Spiel nochmal spielen, oder ob das nur eine Wiederholung ist. Hier steht jedenfalls, dass es live sein wird:http://www.tvmovie.de/tv/pro-und-contra-102581405
http://www.franzmiller.at/vortrag/ce/ce_tv/2016-08-01_Puls4_Pro-und-Contra_Chemiewolken-vergiften-uns_Franz-Miller.pdf (Archiv-Version vom 04.07.2017)
Stellt sich die Frage, warum er und der Sender jetzt ein Jahr später dasselbe Spiel nochmal spielen, oder ob das nur eine Wiederholung ist. Hier steht jedenfalls, dass es live sein wird:
Ähnliche Diskussionen







